器件基本結構
OLED器件基本結構為多層型,多層型可以是具有異質界面的迭層型結構和模糊界面層型結構。有機電致發光器件實際上又可以分為多種器件結構,這些結構是為了適應材料性能和器件性能要求而設計的。
某些結構在提高發光效率和性能穩定性方面是相當重要的,如摻雜型和消除界面型結構等已經是當前引導有機電致發光器件的發展方向。
與這些結構相對應的發光機制解釋給出了很值得注意的模型。有機電致發光器件結構一般有:電子傳輸層(ETL,electron transport layer)、發射層(EL,emitter layer)、空穴傳輸層(HTL,hole transport layer),是有機電致發光器件主要有機功能層。典型有機電致發光器件結構:
雙層A 型(doublelayer-A 簡稱 DL-A)
此器件結構是由美國柯達(Kodak)公司所提出,最主要的特點是發光體(emitter)也具有傳輸電子的能力。標準器件的結構由下而上分別為ITO(陽極)/HTL/ETL(發光體)/陰極金屬,最著名的例子為:玻璃基板/ITO/NPB/Alq/Mg:Ag。
DL-A 型圖:

雙層-B型(doublelayer-B 簡稱 DL-B)
雙層-B型(doublelayer-B 簡稱 DL-B)
此組件結構是由日本九州大學的Saito 教授組提出,最主要的特點是空穴傳輸材料可當發光層(emitter)。發光的區域不僅在靠近HTL/ETL之接口上,且可由擴散方式將發光區域擴散至整個HTL。標準器件的結構由下而上分別為玻璃基板/ITO/HTL(發光體)/ETL/陰極金屬。

三層A 型(threelayer-A 簡稱 TL-A)
這種器件結構也是由日本九州大學的Saito 教授組所提出,最主要的特點是在HTL/ETL 之間置入一層發光層,這層發光層薄得像Langmuir-Blodgettfilm 一樣,使得激子(exciton)被局限在此層產生強烈的發光。其標準器件的結構由下而上分別為:玻璃基板/ITO/HTL/EML/ETL/金屬陰極。

三層B 型(threelayer-B 簡稱TL-B,)
這種組件結構是由日本山形大學的Kido 教授組所提出,器件結構與TL-A 相似。但最主要的特點是在HTL/ETL 之間的激子限制層(excitonconfinement layer 簡稱ECL)。
激子限制層的厚度可以調節發光位置,可以認為的控制他向兩側中的一側發光或兩側發光,若將ECL調整合適,可使激發子同時在HTL 及 ETL生成,讓HTL 及 ETL同時發光,而將發光混成白光。其標準組件的結構由下而上分 別 為 :玻璃基板/ITO/HTL/ECL/ETL/金屬陰極。

含有染料的摻雜型結構
熒光染料或摻雜在電子傳輸層或摻雜在空穴傳輸層與電子傳輸層的混合層中目前這種結構的穩定性最高。其標準組件的結構由下而上分別為玻璃基板/ITO/HTL/DEL/ETL/金屬陰極。
需要注意的是電子和空穴的阻擋層,盡管在很多情況下電子和空穴的阻擋層也同時起到電子和空穴傳輸層作用,但在很多情況下也需要另加。

對于電子和空穴的阻擋層性能應滿足以下基本要求:它分別直接與空穴傳輸-發射層和電子傳輸-發射層接觸,并且本身具有比其它材料寬的禁帶;分別具有高的電離能和高的電子親和能。
Fuji 等人設計出一種單量子阱結構的OLED 器件,可描述為:ITO/TPD/超薄Alq/TPD(可變)/Mg:In。
他們發現隨著電壓的升高,發光顏色由藍到綠,復合移向ITO 電極。最近他們用分子束沉積法裝配了間隔多層結構的OLED 器件,利用這種結構,實現了呈各向異性的發光器件。
另外Ohimori 等人以Alq/TPD 裝配了多量子阱(multiplequantumwell)(MQW)結構的OLED 器件。當MQW 結構中的Alq 層厚度在10~20nm時,表現出最有效的發射性質,這一發現跟Tang 以前的報道相一致。
電流注入特性
從有機電致發光器件結構可以看出,任何一種器件結構至少存在兩個界面,具有兩個界面的最簡單的器件結構為:ITO陽極/有機膜/金屬陰極。
至于多層結構的器件的界面就更多,因而對有機電致發光器件特性的影響也就更復雜。深入了解有機電致發光器件的界面對有機電致發光器件性能的影響,必須了解電流在有機電致發光器件中的傳輸過程。
有機電致發光器件都是以ITO 為陽極,ITO有良好的整流特性。有機薄膜是絕緣體,禁帶寬度很寬,載流子主要來自電極的注入。
電流通過金屬/有機界面的注入過程有肖特基注入和隧穿注入兩種過程,肖特基電流注入過程是熱激發過程,這種熱過程使電流越過金屬/有機層界面勢壘;而隧穿注入電流是因勢壘厚度變薄產生那樣三角形勢壘,對一個器件來說,到底哪個過程支配著它的I-V 特性還不好定論,因為器件中電極與有機材料的界面因素很復雜。
但對于多數情況來說,通過金屬/有機界面的過程是隧穿過程。但有人認為電流流過Li:Al/LiF/Alq界面的注入是隧穿過程。不管哪種情況,由I-V曲線求得的注入電流值都比實際的電流值小,其原因可能是有機材料中的狀態密度小以及存在的微量缺陷等導致界面接觸特性不好。
同時還不清楚有機材料中的載流子有效質量大小,另外薄膜的介電常數也比體材料小。
界面特性
金屬/有機層的界面狀態
一般有機材料為半絕緣性的,因此在金屬(含ITO)/有機層的界面處存在一個高電位勢壘。載流子跨越該界面的傳輸過程遵從金屬/絕緣膜界面的傳輸過程(肖特基發射、Fowler-Nordhein貫穿),因此,研究金屬電極間的有機薄膜結構的電流-電壓特性,就可弄清載流子注入及傳輸機制。
如果器件偏壓低于1eV 的勢壘,則不會有電流流過。對于金屬有機薄膜的界面還不清楚什么樣的界面結構更適合于載流子注入。對于通常的金屬/絕緣膜界面,若勢壘高度為1-2eV 時,隧道距離要大于10 nm。
也就是說,低的場強難以產生明顯的隧道注入。因此等價的勢壘高度比單純能帶推測的要低,或者可以推斷,電場集中在金屬界面上。有關有機EL器件中金屬/有機界面的微觀形貌可用電子分光技術來研究,結果表明在該界面處存在勢壘移位,把真空能級作為共同標準能級,再對不同材料各自獨立測得的電離能或電子親和勢等還不能直接進行比較。
在界面處因材料組分不同也會形成不同的界面層,因而電極材料的擴散或在界面層形成的氧化層情況也不同。
#p#分頁標題#e#有機/有機的界面狀態
有人提出了的有機/有機的能帶載流子傳輸機制,即在熱平衡狀態下,在界面形成阻擋結;在電流充分流通的平衡狀態下載流子在界面處積累,產生局部約10⁷V/cm的電場,此時認為載流子以隧穿形式注入。
一般來說對于絕緣膜(對OLED 材料暫且也按此處理)能帶不會發生局部大的彎曲,但在有電流流過時的非平衡狀態下,自由載流子起著空間電荷的功能,而且即使在器件的有機/有機層間界面形成了阻擋結,其勢壘高度也還會對載流子有很大阻礙。
然而在考慮有機/有機界面的微觀結構時,是否能才有阻擋結構來描述上述現象還存在一些問題。其中一個原因是界面并不是一層分子水平“面”,實際上界面處是凹凸不平而且兩側分子還相互擴散的;同時還要考慮界面能級的影響。
有機/有機界面能級是怎樣的結構還有許多疑問。對于無機半導體界面,尚存在著相互間未成鍵的懸鍵,這些懸鍵形成了界面能級。可是從分子薄膜角度看,有機/有機界面不會存在懸鍵,這樣一來在有機/有機界面處的界面有可能形成局部不均勻的界面能級。
如果存在界面能級,積累在界面上的載流子發生復合,減少界面電場,使注入效率降低。如此看來,有機/有機界面的微觀結構,界面能級密度,能量分布等電學特性幾乎不清楚。
有機/有機界面分子間相互作用
不同分子間的激基復合物(Exciplex)產生于兩種不同分子的相互作用,這里設兩種分子分別為D 和A,它們的激發態和基態分別是Sd0,Sd1 和Sa0 和Sa1,從到Sa1 到 Sd0的電子躍遷亦稱激基復合物發光。可以看出,它的發光光譜不同于有機分子中任何一種分子的熒光光譜。對于非金屬配合物的兩種有分子間形成的激基復合物發射光譜峰值長于兩種分子發射譜峰值。激基復合物的穩定是靠DA 分子間的庫侖引力。
有機晶體中T-T系熄滅是由于在晶體中遷移的三重態激子之間T-T熄滅所致。所以在高密度T態存在的有機晶體中,T-T熄滅是激發三重態的重要去激活過程。
激基復合物與OLED 性能間的關系
同種分子之間易形成激發二聚體(excimer),兩個薄膜界面之間形成激基復合物,由于OLED 器件是由有機薄膜組成,這就會形成有機/有機薄膜間的界面,界面特性取決于兩個有機薄膜的各自特性及其相互作用程度,目前還很難非常明確地判斷這種互相作用與哪些因素有關,下面僅舉例說明兩個薄膜界面之間形成激基復合物與OLED性能的關系。
激基復合物的形成
日本大阪大學shirod研究組采用他們研制的稱為分子玻璃的星型分子MTDATA和t-Bu-TBATA做HTL與Alq制成了雙層器件,但他們發現它們的EL光譜比組成它們組分單獨發射光譜明顯紅移,同時雙層器件的發射光譜隨驅動電壓的增加明顯藍移。
幾乎所有激基復合物發射可以說來自界面,而且發射特性都與驅動電壓有關,顯然激基復合物的形成與復合區位置密切相關。
一般認為在兩個有機界面處形成的激基復合物是一種瞬間激發態,即在激發狀態下,它是某一有機層的激發單重態分子,應該說是單重態激子(電子-空穴對)與相對應的另一有機層的基態分子之間相互作用的結果。
例如,對于ITO/"星型分子"-HTL/Alq/Mg:Ag雙層結構器件來說,在低壓時激發單重態應該產生于Alq層,Alq激發單重態與MTDATA分子基態在界面處相互作用產生瞬間Exciplex,當它衰減時就發射新的發射帶,它不同于MTDATA和Alq兩層的任何分子發射。
當電壓增高時,復合區由界面向Alq移動,出現界面Exciplex發射與Alq發射的疊加。
兩個有機界面間形成的激基復合物發射一般對OLED 器件效率和發光色有嚴重干擾作用,是人們所不期望的。但有時可以利用它來調節發光色。
載流子運輸材料對器件發光性能的影響
由于OLED 所使用的超薄膜是一種絕緣體,理論上載流子在有機超薄膜中是很不容易移動的。OLED研究的初期所使用的蒽(Anthracence)單晶其電阻高達109 Ω。常用的空穴傳輸材料TPD 以40%的比例分散于高分子薄膜中,其電阻率仍高達5x10¹¹Ω·m,其它大部分真空蒸鍍的有機薄膜也同樣有高電阻的問題。
雖然OLED 薄膜材料的電阻很高,然而要使OLED 器件產生100 mA/cm²的電流密度并不會特別困難,OLED器件的正負電流密度也不會比一般半導體材料低,一般的絕緣體材料是不可能有這么高的電流密度。
如果要在厚度1mm,電阻值10¹³Ω 的絕緣體薄膜中產生100 mA/cm²的電流密度,所需要的驅動電壓必須高達104 V,因此必須尋找電阻更小的材料。
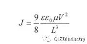
然而必須注意的是OLED 薄膜中電流密度的大小并不是由薄膜中的載流子密度所決定,對于歐姆電流而言,載流子密度低時確實電流密度會較低,但是只要材料的電荷遷移率夠高也可以獲得高的電流密度。這個現象稱為空間電荷限制電流。空間電荷限制電流的表示式為:

ε為薄膜的相對介電常數,L為薄膜厚度,μ為載流子遷移率,V為外加電壓。一般非晶質發光薄膜材料的典型參數為μ=10-3 cm 2 /Vs、L=100nm、V=1.0V 時,其電流密度為300 mA/cm²。如果外加電壓只有0.2 V時,則電流密度只有10 mA/cm²。
上式是假設沒有載流子陷阱(carriertrap)的情形,如果是有載流子陷阱的情形時其考慮的方法也是相同的。
因此對于本身是絕緣體的OLED 超薄膜,只要施加數伏特電壓就可以產生很大的電流密度并產生電致發光的效應。上述的前提是由電極注入的電荷遷移率必須足夠大,而且電荷在材料中快速結合而沒有電荷累積。
Adachi評估了空穴運輸材料對有機電致發光器件(OLED)壽命的影響。他以十四種芳胺類小分子作空穴運輸材料,裝配了雙層OLED 器件結構∶ITO/空穴運輸層(HTL)/發射層(EML)/Mg:Ag。
發射層材料是Alq。
實驗結果表明,空穴材料的電離能(Ip)是影響有機EL器件耐久性的主要因素,用低電離能(5.08eV)的材料作空穴運輸層,顯著地提高了器件的穩定性,在這種情形下,器件原始發光的半衰期(器件壽命)超過500 hrs。
同時他還論述了器件老化的可能機理,認為在空穴運輸層和陽極之間形成的能壘越低,器件越穩定。
材料的厚度也是影響電發光性能的一個重要因素,它直接影響發光器件的亮度、電光轉換效率和穩定性。
Shirota以 TPD 和MTDATA 作成了含有雙層HTL 的OLED 器件,以Alq 為發光層,結果發現MTDATA 的厚度由400 Å 變化到1000 Å 時,并沒有引起驅動電壓的明顯增加,穩定性和發光效率提高很大。
這表明通過優選空穴傳輸材料,可以使厚度對OLED器件性能的影響降低到最低限度,同時提高器件的穩定性和發光效率。
以有機/無機復合材料作為空穴傳輸層,首次被Tokito 所報道。因為傳統的OLED 器件的穩定性對溫度很敏感,溫度升高,器件的穩定性下,將MgF 摻雜TPD 作為HTL,發射層物質是Alq,結果在15 V 偏壓下,藍色發光亮度高達2600 cd/m²。
有機小分子電致發光材料應用最廣泛的是Alq,它具有成膜質量好,較高的電子遷移率和較好的穩定性等優點。Alq既是一種電致發光材料也是一種電子傳輸材料,因而在OLED 中Alq 也可以充當電子運輸層。#p#分頁標題#e#
Sano 等合成出一種稀土配合物Eu(TTA)3(phen)(TTA:噻吩甲酰三氟丙酮,phen:鄰二氮菲),在OLED 器件中作發光物質,得到亮度為137cd/m²的純紅EL。
Kido以 Eu(ACAC)3 (phen)作發光材料,也得到了紅色發光。
Hamada 等人選用8-羥基喹啉及其兩種衍生物作配體,以Al³、Mg²、Zn²、Be²作配離子,合成出多種配合物并用于實驗,在20 V偏壓下8-羥基喹啉鋅(Znq2)的發光亮度高達16200cd/m²。從而人們期望Znq2 等二配位的金屬配合物能夠成為新的有機EL 材料。
有機小分子OLED材料的開發仍在進行,但小分子普遍的結晶現象降低了EL 器件的壽命;同時有機小分子OLED 材料的成膜方式主要靠真空蒸鍍。
為提高發光效率大多采用多層結構,這對器件的裝配帶來了困難,也難以實現大面積顯示對基板平整度的要求。
于是把探究方向轉向具有優良物理特性的聚合物。聚合物具有撓曲性,易加工成型;玻璃化溫度高,不易結晶;同時鏈狀共軛聚合物具有一維結構,具有帶隙能,數值與可見光能量相當。
可溶性聚合物又具有優良的機械性能和良好的成膜性,因而適用于大面積顯示。
目前PLED 中聚合物材料有三種形式:一種是染料摻雜型聚合物作發光層;一種是共軛聚合物作發光層;還有以聚合物作載流子運輸層,以有機小分子EL 材料作發光層。
聚乙烯咔唑(PVK)是一種典型的光導體,由于咔唑側基的存在,使它有很強的空穴傳輸能力,因而在PLED 器件中常被用作空穴運輸層。
這種空穴運輸材料一方面降低了小分子OLED材料的結晶性,提高了器件壽命;同時增加了電子-空穴復合的機會,因而提高了發光效率。
聚甲基苯基硅烷(PMPS)也是一種性能優良的空穴運輸材料,室溫下其空穴遷移率10-3cm²/Vs。易于得到純的產品,因而只有很小的截留效應(trappingeffects)。PMMA在可見光內無吸收,易于加工,可以用濕法噴涂裝配PLED。
以非公軛聚合物作空穴運輸層而制備的是一個多層結構PLED器件,由于有機層之間只存在弱的范德華力,在強度方面不能滿足長期使用的要求,因而提高器件結構的穩定性可以采用單層結構。
Kido采用染料分子摻雜聚合物作發光層,制備了單層EL 器件,在17 V 偏壓下,得到亮度為920 cd/m²的綠色發光。這種聚合物是具有非導電特性的聚甲基丙烯酸甲酯(PMMA),它具有好的成膜性和較高的玻璃化轉變溫度(105°C)。
采用噴涂成膜,通過摻雜不同的熒光染料,可以調諧發光顏色由綠變紅。
一般來說有機材料的亮度與壽命成反比,因此需在兩者間取得一個平衡點。
在這方面比較出色的是日本出光興產公司,該公司已開發出亮度200 cd/m²、壽命1 萬小時以上的藍光材料,以及亮度200 cd/m²壽命5 萬小時以上的綠光材料。
此外,東洋INK 的藍、綠、橙光材料也已達到實用階段,美國Universal Display Corporation(UDC)開發出顏色純度與壽命均達一定品質的紅、綠光材料,Kodak也開發出紅、綠光材料,壽命均達10000 小時以上。不過現階段最大的課題在于紅色發光材料。
因此以現階段發展而言,并沒有任何一家材料廠商,能夠同時提供滿足顏色純度/壽命/發光效率三大要素的RGB 三原色發光材料。
OLED 器件制作
器件制作關鍵步驟
OLED 器件制作包括:
ITO/Cr玻璃清洗——→光刻——→再清洗——→前處理——→真
空蒸發多層有機層(4-5層)——→真空蒸發背電極——→真空蒸發保
護層——→封裝——→切割——→測試——→模塊組裝——→產品檢
驗、老化實驗以及QC 抽檢工序
ITO 的洗凈及表面處理
作為陽極的ITO表面狀態好壞直接影響空穴的注入和與有機薄膜層間的界面電子狀態及有機材料的成膜性。如果ITO 表面不清潔,其表面自由能變小,從而導致蒸鍍在上面的空穴傳輸材料發生凝聚、成膜不均勻。
通常先對ITO 表面用濕法處理,即用洗滌劑清洗,再用乙醇,丙酮及超聲波清洗或用有機溶劑的蒸汽洗滌,后用紅外燈烘干。
洗凈后對ITO表面進行活化處理,使ITO 表面層含氧量增加,以提高ITO 表面的功函數,也可以用過氧化氫處理ITO 表面,用比例為水:雙氧水:氨水=5:1:1的混合溶液處理后,使OLED 器件亮度提高一個數量級。
因為過氧化氫處理會使ITO 表面過剩的錫含量減少而氧的比例增加,使ITO 表面的功函數增加從而增加空穴注入的幾率。紫外線-臭氧和等離子表面處理是目前制作OLED 器件常用的兩種方法,主要目的是:
1.去除ITO 表面殘留的有機物。
2.促使ITO 表面氧化增加ITO 表面的功函數。
經過脫脂處理表面處理后的ITO 表面的功函數約為4.6 eV,經過紫外線-臭氧或等離子表面處理過的ITO 表面的功函數約為5.0 eV 以上,發光效率及工作壽命都會得到提高。
在對ITO 玻璃進行表面處理是一定要在干燥的真空操作條件下進行,處理過的ITO 玻璃不要在空氣中放置太久,否則ITO 玻璃就會失去活性。
基板的平坦度對有機薄膜的型態(morphology)也有關鍵性的影響,由于與有機薄膜接觸的表面粗糙度對表面型態有顯著的影響,因此在絕緣層及金屬極的制作就需要選擇平整的制作過程。
有機薄膜蒸鍍工藝
OLED器件在高真空腔室中蒸鍍多層有機材料薄膜,膜的質量是關系到器件質量和壽命的關鍵。
在真空腔室中有多個加熱舟蒸發源和相應的膜厚監控系統、ITO玻璃基板固定裝置及金屬掩膜裝置(Mask)。有機材料的蒸汽壓比較高,蒸發溫度在100-500℃之間,就其特征:
1、蒸汽壓高(150-450℃)。
2、高溫條件下易分解,易變性。
3、泡沫狀態下導熱性不好。
在蒸發沉積有機材料薄膜時,蒸發輸率控制在3-5Å/秒,這樣在Φ60 ㎜的基板范圍內薄膜的均勻度可達350 ű25 Å。
使用導熱性好的加熱舟,使蒸發速度容易控制。常用的加熱舟有金屬鉬和鉭加熱舟,為了使加熱更均勻,再加上帶蓋的石英舟,它使加熱得到緩沖。
在進行有機材料薄膜蒸鍍時,一般基板保持室溫,防止溫度升高破壞有機材料薄膜,蒸發速度不宜過快或過慢,使膜厚度不均勻,過厚。蒸發多種材料分別在幾個真空室中進行,防止交叉污染。
在彩色OLED 器件制作中,含有摻雜劑的有機材料薄膜的形成,要采取摻雜劑材料與基質材料共蒸發的工藝,一般摻雜劑材料控制在0.5~2%(占基質材料的摩爾數),要求在控制基質材料和蒸發量的同時,嚴格控制摻雜劑材料在基質中的含量。

有機材料蒸鍍示意圖
有機材料蒸鍍常見問題
A)材料的有效使用率低
目前可供有效選擇的廠商很有限,所設計的系統要有效的利用極昂貴的有機材料和摻雜物;目前利用率普遍低于10 %以下,全彩色制作過程的利用率更低。#p#分頁標題#e#
B)摻雜物(Dopant)的濃度控制難以精確
以摻雜物0.5~1%的低分散率而言,因整個系統及溫度控制和物質本身的理化特性,使得濃度比例不容易控制,而摻雜物的濃度又是器件結構的重要因素,這就使得量產過程所需的精確度和可操作性更加困難。
C) 蒸鍍速率不穩定
蒸鍍物質的純度和系統溫控的方式導致蒸鍍速率不穩定。
D) 基板鍍膜的均勻度不夠
這主要還是因為蒸發源和加熱舟設計對有機材料缺乏針對性。
E) 真空室的污染
因為材料利用率不佳,所以造成極大部分材料沾粘在腔壁及其它各零件上而變成粉塵即污染源,影響制造器件的產率。
針對蒸鍍鍍膜均勻性不夠的問題,日本Vieetech Japan 公司提供一套解決的方案(見下圖),它透過窄口寬底和大容量的PBN 坩堝,提供一個在研發和量產上應用的裝載有機材料時的裝置。

尤其它針對有機材料而設計的Thermoball 粒子,可以解決有機材料導熱不良和材料利用率低的問題;配合二段式加熱和測溫、PID控溫系統,可以做到及時的準確溫度反饋并做到溫控差異在±0.1℃之內,可以使蒸鍍速率穩定;另外特殊的摻雜物Dopant Insert 和PID 控溫系統,使0.5~1 %的摻雜物比例恒定而穩定。
金屬電極的制作工藝
金屬電極的制作工藝要在與有機材料薄膜蒸鍍室相隔絕的真空腔室中進行。由于金屬電極多使用低功函數的活潑金屬,在有機材料薄膜蒸鍍沉積工藝結束后,不要讓帶有有機材料薄膜的基板暴露在空氣中,將其移至金屬電極蒸鍍室。
常用金屬功函數表:

常用的金屬電極有Mg/Ag、Mg:Ag/Ag、Li/Al、LiF/Al 等,Mg/Ag要采用共蒸發法形成薄膜,其他采用分層蒸發法,一般金屬材料的氣化溫度在450℃-1200℃高溫下,所以要防止金屬蒸發源熱輻射對基板上的有機材料薄膜的不良影響,將基板溫度控制在80℃以下。
對于合金金屬電極要進行蒸鍍后處理,在合金金屬電極膜上面再鍍上一層惰性金屬膜,如Mg:Ag(10:1)合金上鍍上一層銀保護層,使其成為Mg:Ag /Ag,對于Li/Al 就成了Li: Al /Al。
在蒸鍍有機材料薄膜和金屬薄膜時要維持10⁻⁵帕以上的真空度,否則會影響有機材料薄膜和金屬薄膜的質量和器件的壽命。
OLED 器件防老化處理
OLED器件的有機薄膜及金屬薄膜與水和空氣會立即氧化變壞,一定要采取措施避免這個問題。可采用無機膜保護法,無機膜保護材料有氮化硅,氟化鎂,氧化銦等,采用電阻加熱法或磁控濺射法制備無機保護膜材料。
在保護膜形成之后,將制作的器件進行封裝,封裝工藝一定要在無水無氧的惰性氣體中進行,封裝材料包括粘合劑和覆蓋材料。
粘合劑使用紫外固化或熱固化環氧固化劑,覆蓋材料采用玻璃封蓋,在封蓋內加裝干燥劑來吸附殘留的水分。
下圖為:水分侵入有機層造成的破壞

制作全彩色OLED 器件采取的方案
制作全彩色OLED 器件,可以采用以下方案:
1.RGB 器件迭加模式
這種模式實現彩色顯示的方式不需要光色轉換或彩色濾光片,因此提高了發光效率。這種迭加模式要求材料性能要好及驅動特性要好,工藝條件要求高。
2.蘭光器件+發光色轉換層模式
這種模式最早由日本出光公司開發成功,藍色有機電致發光器件是發光能量最高的,所以讓藍光通過發光色轉換介質,激發產生綠光和紅光。這種藍光有機電致發光器件結構為陽極/空穴注入層/空穴傳輸層/發射層/電子傳輸層/陰極,其中發射層是DSA 藍光有機電致發光材料。
發光效率為6 1m/W,壽命為20,000小時,在此基礎上采用發光色轉換介質模式制作出的多色有機電致發光器件。這種工藝要求高效的藍色發光層。
3.白光器件+彩色濾光片模式
最早開展這項技術的是日本TDK 公司,白光器件發出的光經彩色濾光片獲得彩色。彩色濾光片成本較高,發光效率不高,盡管這種模式可以獲得高的色純度,紅綠藍三色法光器件老化特征不同,會有色純度的經時變化。
下圖是三種彩色化方案:

OLED 器件性能測試
經過封裝的OLED 器件一定要進行表征性能測試,主要是發光亮度-電壓曲線和電流密度-電壓曲線。曲線上升越陡,發光亮度隨電壓、電流密度隨電壓上升的越快,發光效率才會越高。

電流密度-電壓曲線圖
OLED 器件制作程序
首先在鍍鉻的玻璃基板上采用精細光刻技術,光刻涂膠,曝光,顯影,蝕刻出引線,然后再采用對ITO 透明電極進行光刻,形成ITO 引線,然后蒸鍍有機材料層和金屬電極,將后封蓋封裝。
OLED 制作流程表

生產流程




#p#分頁標題#e#




OLED 屏設計
首先在370×470 ㎜的基板上作出5.7 吋及3.5 吋的屏設計方案。




設備采購清單與規格
OLED 研發線設備清單




關注我們
公眾號:china_tp
微信名稱:亞威資訊
顯示行業頂級新媒體
掃一掃即可關注我們